A otimização da combustão em caldeiras é um elemento central para melhorar a eficiência energética em sistemas que utilizam biomassa, contribuindo para uma operação industrial mais sustentável e econômica. A biomassa de cana-de-açúcar, por exemplo, se destaca como uma fonte de energia renovável e abundante, mas o desafio de maximizar a eficiência de sua combustão persiste. Um dos principais fatores que influenciam esse desempenho é o controle preciso da mistura ar-combustível.
O papel dos analisadores de oxigênio na otimização da combustão em caldeiras a biomassa de cana-de-açúcar
É nesse cenário que os analisadores de oxigênio pelo princípio de óxido de zircônio da Fuji Electric (modelos ZKMA/B + ZFK8), desempenham um papel fundamental. Esses instrumentos oferecem uma solução de alta precisão para monitorar e otimizar a combustão, permitindo ajustes finos na proporção ar e combustível. O resultado é uma combustão mais eficiente, que não só maximiza a geração de energia, como também reduz significativamente o consumo de combustível e as emissões de poluentes.
O analisador de oxigênio in-situ pelo princípio de óxido de zircônio, é projetado especificamente para medir os níveis de O2 diretamente na fornalha, fornos ou caldeiras. Essa medição contínua e em tempo real é crucial para ajustar automaticamente o excesso de ar na combustão, garantindo que o processo ocorra nas condições ideais. Ao manter o equilíbrio adequado entre ar e combustível, o analisador contribui para uma queima mais completa e eficiente, resultando em ganhos operacionais substanciais e uma significativa redução de custos.
Em resumo, a utilização do analisador de oxigênio não é apenas uma escolha técnica, mas uma estratégia inteligente para impulsionar a eficiência energética, reduzir despesas e promover práticas operacionais mais sustentáveis na indústria.
Óxido de zircônio (ZrO2)
A operação do analisador de oxigênio in situ é baseada na propriedade do óxido de zircônio, também chamado de zircônia, que conduz íons de oxigênio quando aquecido.
Este analisador obtém a medição da concentração de O₂ detectando a força eletromotriz gerada pela diferença no conteúdo de O₂ entre o ar e o gás da amostra.


O analisador de oxigênio da Fuji Electric utiliza a tecnologia de célula de óxido de zircônia, que funciona com base no princípio de condução iônica. A célula gera uma tensão proporcional à concentração de oxigênio nos gases de combustão. Essa leitura precisa permitir o ajuste automático da quantidade de ar fornecido à caldeira, garantindo que a combustão ocorra em condições ideais.
O analisador de oxigênio por óxido de zircônia é amplamente utilizado para monitorar a concentração de oxigênio em processos de combustão. O princípio de funcionamento desse analisador baseia-se nas propriedades eletroquímicas da zircônia estabilizada com ítria, que se torna condutiva para íons de oxigênio a altas temperaturas.
Princípio de funcionamento
Sensor de óxido de zircônia
- O sensor principal é composto por um tubo de cerâmica feito de óxido de zircônia estabilizado com ítria. Este tubo funciona como um eletrólito sólido.
- Em cada extremidade do tubo, há eletrodos de platina porosa, que permitem a passagem de íons de oxigênio.
Diferença de concentração de oxigênio
- Um lado do tubo de zircônia é exposto ao gás de combustão (com uma concentração variável de oxigênio), enquanto o outro lado é exposto a um gás de referência (geralmente ar ambiente, com concentração de oxigênio conhecida e constante).
- Devido à diferença na concentração de oxigênio entre os dois lados, uma diferença de potencial (tensão elétrica) é gerada entre os eletrodos.
Gerando o sinal
- A diferença de potencial gerada entre os dois eletrodos é proporcional ao logaritmo da razão das concentrações de oxigênio nos dois lados.
- Este sinal elétrico é então amplificado e convertido em uma leitura direta da concentração de oxigênio no gás de combustão.
Temperatura de operação
- O sensor de óxido de zircônia precisa ser aquecido a uma temperatura alta, geralmente em torno de 600 a 800 °C, para que o material cerâmico se torne condutor de íons de oxigênio. Este aquecimento é mantido por um elemento de aquecimento integrado no sensor
Benefícios:
- Resposta Rápida: A medição em tempo real permite ajustes rápidos no processo de combustão, aumentando a eficiência.
- Precisão: A alta sensibilidade do sensor de óxido de zircônia garante medições precisas, mesmo em ambientes severos.
- Durabilidade: Projetado para resistir a altas temperaturas e condições adversas, o sensor oferece uma longa vida útil.
Impacto na eficiência de combustão
A eficiência de combustão é diretamente relacionada à quantidade de oxigênio presente nos gases de exaustão. Uma combustão sub estequiométrica (pouco oxigênio) pode resultar na formação de monóxido de carbono (CO) e fuligem, enquanto uma combustão super estequiométrica (excesso de oxigênio) leva ao desperdício de energia pela queima de oxigênio em excesso, reduzindo a eficiência térmica.
Com a implementação do analisador de oxigênio da ALUTAL/ FUJI Electric, é possível ajustar a taxa de ar de combustão em tempo real, mantendo o nível de oxigênio em uma faixa ideal (geralmente entre 2% e 4% para biomassa). Esse controle resulta em uma combustão mais completa, aumentando a eficiência térmica da caldeira e reduzindo a emissão de poluentes.
Base de cálculo para eficiência de combustão
Para calcular a eficiência de combustão e otimizar o controle ar-combustível em uma caldeira, é essencial entender alguns conceitos-chave e utilizar fórmulas específicas. A eficiência de combustão é geralmente expressa como a proporção da energia liberada pela queima do combustível que é convertida em calor útil.
Conceitos básicos
- Combustível: A biomassa, como bagaço de cana-de-açúcar.
- Poder calorífico inferior (PCI): A quantidade de calor liberada pela combustão
completa de uma unidade de combustível, sem considerar a condensação do
vapor d’água nos produtos da combustão. - Excesso de ar: A quantidade de ar fornecida acima da quantidade teoricamente
necessária para a combustão completa.
Parâmetros importantes:
- Fração de excesso de ar (E): A proporção de ar em excesso fornecido em relação
ao ar estequiométrico (quantidade mínima de ar necessário para a combustão
completa). - Medição de oxigênio (O2): A concentração de oxigênio nos gases de combustão,
medida pelo analisador de oxigênio. - Temperatura dos gases de exaustão (Tgases ): A temperatura dos gases após a
combustão, que afeta a eficiência.
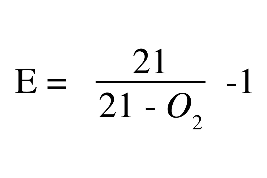
Formula para excesso de ar

Onde O2 é a concentração de oxigênio medida nos gases de exaustão (em %).
Eficiência térmica da combustão (ηc)

As perdas podem incluir:
- Perda de calor pelos gases de exaustão.
- Perda de calor pela umidade no combustível.
- Perda de calor pela ventilação excessiva.
Perda de calor nos gases de exaustão

Onde:
- Cp é o calor específico dos gases de combustão.
- Tamb é a temperatura ambiente.
Eficiência de combustão (ηcomb):

Perdas totais incluem as perdas pelos gases de exaustão, ventilação excessiva, entre outras
Eficiência global (ηglobal):

Onde:
- ηc é a eficiência térmica.
- ηcomb é a eficiência de combustão.
Aplicação prática com o analisador de oxigênio:
- Usando o analisador de oxigênio, monitore O2 continuamente.
- Ajuste o fluxo de ar para minimizar E, sem comprometer a segurança.
- Monitore as temperaturas dos gases de exaustão para avaliar as perdas.
- Use os valores de O2 e Tgases para calcular e otimizar a eficiência.
Exemplo de cálculo
Para calcular a eficiência de combustão de uma caldeira, vamos usar um exemplo prático. Suponha que temos uma caldeira que utiliza biomassa (bagaço de cana-de-açúcar) como combustível, e precisamos calcular a eficiência de combustão com base nos dados medidos.
Dados do exemplo
- Poder Calorífico Inferior (PCI) do combustível: 15 MJ/kg
- Temperatura dos gases de exaustão (Tgases): 250°C
- Temperatura ambiente (Tamb): 25°C
- Nível de oxigênio (O2): 5%
- Calor específico dos gases de combustão (Cp): 1.005 kJ/kg°C
- Excesso de ar: Calculado com base no nível de oxigênio medido
Passos para o cálculo
Cálculo do excesso de ar (E)

Substituindo O2 = 5%
E = 0,3125 (ou 31.25%)
Perda de calor nos gases de exaustão (Qgases)
A perda de calor nos gases de exaustão pode ser calculada usando a fórmula:

Substituindo os valores:
Qgases = 226.125 kJ/kg
Eficiência de combustão (ηcomb)
A eficiência de combustão pode ser calculada considerando as perdas de calor:

Substituindo os valores:
ηcomb = 98,49%
Resultado:
A eficiência de combustão da caldeira, neste exemplo, é de aproximadamente 98.49%. Isso significa que 98.49% da energia disponível no combustível é convertida em calor útil, enquanto o restante é perdido, principalmente pelos gases de exaustão.
Cálculos de ganhos e savings práticos:
Para quantificar os ganhos e savings proporcionados pelo uso do analisador de oxigênio, considere os seguintes parâmetros em uma caldeira queima de biomassa de cana-de-açúcar:
- Capacidade Térmica da Caldeira: 100 MW (Megawatts)
- Eficiência Atual da Combustão (sem o analisador): 82%
- Eficiência com o Analisador: 85%
- Custo Médio da Biomassa de Cana-de-Açúcar: $30/tonelada
- Consumo Anual de Biomassa (sem o analisador): 500.000 toneladas
Economia de biomassa:
Primeiramente, calculamos o consumo de biomassa sem e com a eficiência melhorada:
- Eficiência Atual de Combustão (sem o analisador): 82%
- Consumo de biomassa com a Eficiência Atual:
- 500.000 × 0,82 = 410.000 Ton.
- Eficiência com o analisador: 85%
- Redução no consumo de biomassa (com a melhoria na eficiência):
- 500.000 × 0,85 = 425.000 Ton.
- Consumo de biomassa com a Eficiência Atual:
Portanto, a economia anual de biomassa seria:
- Saving anual: 75.000 × $30/ton = $2.250.000,00 por ano
- Economia de biomassa: 500.000−425.000 = 75.000 Ton.
Ganho energético
Além dos savings diretos no consumo de biomassa, o ganho energético também deve ser considerado. Com uma melhoria de 3% na eficiência, a caldeira passa a gerar mais
energia útil a partir da mesma quantidade de combustível, o que pode se traduzir em maior produção ou menor necessidade de combustíveis auxiliares.
Conclusão
A adoção do analisador de oxigênio da Fuji Electric colaboram com a otimização da combustão em caldeiras que utilizam biomassa de cana-de-açúcar pode proporcionar ganhos significativos na eficiência de combustão, resultando em savings consideráveis no consumo de combustível. Com base nos cálculos apresentados, a economia anual pode ultrapassar alguns milhares R$ por ano, além de contribuir para a redução de emissões de poluentes e para a sustentabilidade das operações. Portanto, a implementação desta tecnologia representa um investimento estratégico para empresas que buscam otimizar seus processos energéticos e reduzir custos operacionais.
Leia mais sobre as soluções de analítica da Fuji Electric. Entre em contato com a Alutal.




